NPV IRR
https://www.calculatestuff.com/financial/npv-calculator
https://www.calculatestuff.com/financial/npv-calculator
NET PRESENT VALUE CALCULATOR (NPV CALCULATOR)
The concept of present value is based on the concept of time value. Since money has time value, a rupee today is more valuable than a rupee after one year. In any investment or in any project, the net present value or NPV is one of the most important factors. You always need projects that give positive NPV as otherwise the project or investment is not viable in the first place.
https://www.thecalculatorsite.com/finance/calculators/irr-calculator.php
https://www.calculatestuff.com/financial/irr-calculator
https://www.tatacapital.com/wealth/calculators/irr-calculator.html
https://unacademy.com/content/full-forms/full-form-of-irr/
Internal rate of return (IRR) is a financial metric used to assess the profitability of an investment or project. The internal rate of return is the “rate” at which the present value of all cash flows from a project or investment equals the initial cost of the capital outlay. In other words, the IRR is the rate of return at which an investment would break even.
used to:
- Compare the profitability of different investments
- Determine whether a project is worth pursuing
- Assess the potential return on an investment
The initial cost of the investment: $100
We can now plug this information into the Internal Rate of Return formula:
IRR = (50/100) ^ (0.05-0)
IRR = 0.64%
In this example, the internal rate of return is 0.64%. This means that your investment will earn a 0.64% return each year.
- IRR is a metric that takes into account the time value of money. This means that it discounts future cash flows back to the present day, which gives a more accurate picture of the true profitability of an investment.
- IRR is also a good way to compare different investments because it takes into account the different timelines of each investment.
- IRR is a good tool for capital budgeting because it can help you decide whether or not a particular investment is worth pursuing.
- IRR can also be used to measure the performance of a business over time.
- IRR is a relatively simple metric to calculate, and it doesn’t require a lot of data.
- Despite its disadvantages, IRR is still a widely used metric in the business world. If you’re considering making an investment, it’s a good idea to calculate the IRR to get a better understanding of how profitable it will be.
- IRR is a great tool for helping you decide whether or not to invest in a project. It takes into account the time value of money, so you can be sure that you’re making the best decision for your business. We hope this article has helped you understand the Internal Rate of Return and how to use it.
- XXXXXXXXXXXXXXXXXXXXXXXXXXXXXXXXXXXXXXX
- https://www.investopedia.com/terms/n/npv.asp#:
- Net present value (NPV) is used to calculate the current value of a future stream of payments from a company, project, or investment.
- To calculate NPV, you need to estimate the timing and amount of future cash flows and pick a discount rate equal to the minimum acceptable rate of return.
- The discount rate may reflect your cost of capital or the returns available on alternative investments of comparable risk.
- If the NPV of a project or investment is positive, it means its rate of return will be above the discount rate.
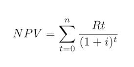
Net Present Value (NPV) Formula
If there’s one cash flow from a project that will be paid one year from now, then the calculation for the NPV of the project is as follows:


Comments
Post a Comment